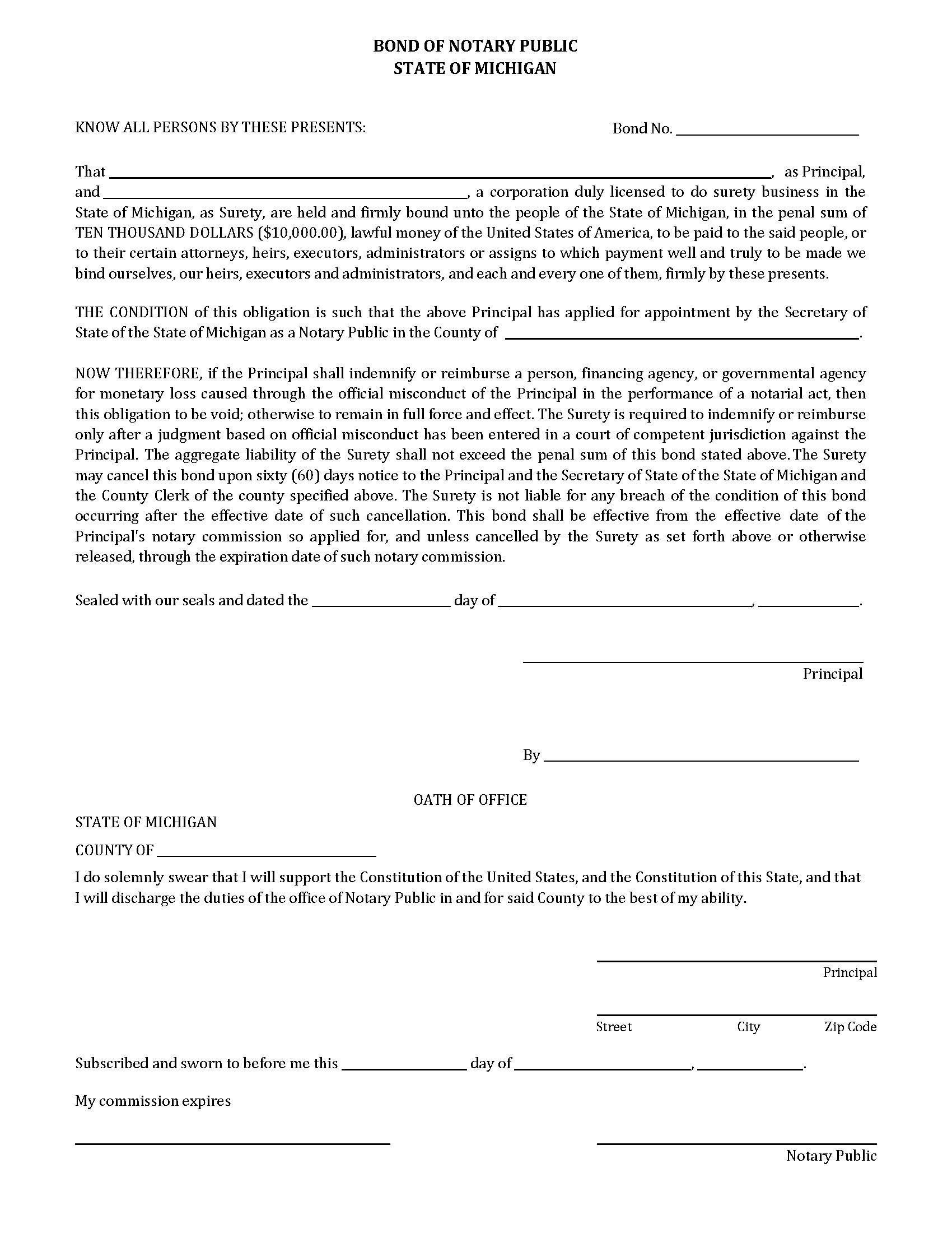
Surety Bond For Notary Michigan . Web notary public surety bonds are required in michigan to protect the public from any misconduct of the notary. The bond offers financial protection to a party damaged by a michigan notary public’s Web a michigan notary bond is a surety bond that protects the public against misconduct of a commissioned notary while performing a notarial act. An errors and omissions insurance notary. Web get your $10,000 michigan notary bond quickly with jw surety bonds. Notaries public are required to obtain a $10,000.00 surety bond and file it at the office of the county clerk. Web michigan law requires notaries to purchase a michigan notary bond in the amount of $10,000 from a licensed surety company. Easy application and quick approval for all. The state of michigan requires every notary to purchase a $10,000 surety bond in order to protect the public.
from notary.net
Web get your $10,000 michigan notary bond quickly with jw surety bonds. An errors and omissions insurance notary. Notaries public are required to obtain a $10,000.00 surety bond and file it at the office of the county clerk. The state of michigan requires every notary to purchase a $10,000 surety bond in order to protect the public. Easy application and quick approval for all. Web michigan law requires notaries to purchase a michigan notary bond in the amount of $10,000 from a licensed surety company. The bond offers financial protection to a party damaged by a michigan notary public’s Web notary public surety bonds are required in michigan to protect the public from any misconduct of the notary. Web a michigan notary bond is a surety bond that protects the public against misconduct of a commissioned notary while performing a notarial act.
Washington Notary Bond »
Surety Bond For Notary Michigan The bond offers financial protection to a party damaged by a michigan notary public’s Web notary public surety bonds are required in michigan to protect the public from any misconduct of the notary. Web get your $10,000 michigan notary bond quickly with jw surety bonds. Notaries public are required to obtain a $10,000.00 surety bond and file it at the office of the county clerk. The bond offers financial protection to a party damaged by a michigan notary public’s Easy application and quick approval for all. An errors and omissions insurance notary. The state of michigan requires every notary to purchase a $10,000 surety bond in order to protect the public. Web michigan law requires notaries to purchase a michigan notary bond in the amount of $10,000 from a licensed surety company. Web a michigan notary bond is a surety bond that protects the public against misconduct of a commissioned notary while performing a notarial act.
From exowmwlnm.blob.core.windows.net
Notary Surety Bond Colorado at Edgar Cox blog Surety Bond For Notary Michigan Easy application and quick approval for all. The state of michigan requires every notary to purchase a $10,000 surety bond in order to protect the public. Web a michigan notary bond is a surety bond that protects the public against misconduct of a commissioned notary while performing a notarial act. Web get your $10,000 michigan notary bond quickly with jw. Surety Bond For Notary Michigan.
From notary.net
Tennessee Notary Bond Travelers Insurance » Surety Bond For Notary Michigan An errors and omissions insurance notary. Web michigan law requires notaries to purchase a michigan notary bond in the amount of $10,000 from a licensed surety company. Notaries public are required to obtain a $10,000.00 surety bond and file it at the office of the county clerk. The state of michigan requires every notary to purchase a $10,000 surety bond. Surety Bond For Notary Michigan.
From notary.net
California Notary Surety Bond Travelers » Surety Bond For Notary Michigan Notaries public are required to obtain a $10,000.00 surety bond and file it at the office of the county clerk. Web get your $10,000 michigan notary bond quickly with jw surety bonds. The bond offers financial protection to a party damaged by a michigan notary public’s Web michigan law requires notaries to purchase a michigan notary bond in the amount. Surety Bond For Notary Michigan.
From notary.net
Michigan Notary Bond Travelers Insurance » Surety Bond For Notary Michigan Web michigan law requires notaries to purchase a michigan notary bond in the amount of $10,000 from a licensed surety company. An errors and omissions insurance notary. Web a michigan notary bond is a surety bond that protects the public against misconduct of a commissioned notary while performing a notarial act. Easy application and quick approval for all. Web get. Surety Bond For Notary Michigan.
From www.flickr.com
What Is a Notary Surety Bond Flickr Surety Bond For Notary Michigan An errors and omissions insurance notary. Easy application and quick approval for all. Web michigan law requires notaries to purchase a michigan notary bond in the amount of $10,000 from a licensed surety company. Web get your $10,000 michigan notary bond quickly with jw surety bonds. Notaries public are required to obtain a $10,000.00 surety bond and file it at. Surety Bond For Notary Michigan.
From www.bondexchange.com
Tennessee Notary Public Bond A Comprehensive Guide Surety Bond For Notary Michigan Web michigan law requires notaries to purchase a michigan notary bond in the amount of $10,000 from a licensed surety company. The state of michigan requires every notary to purchase a $10,000 surety bond in order to protect the public. Web get your $10,000 michigan notary bond quickly with jw surety bonds. Easy application and quick approval for all. Notaries. Surety Bond For Notary Michigan.
From www.bondexchange.com
Washington Notary Public Bond A Comprehensive Guide Surety Bond For Notary Michigan Web a michigan notary bond is a surety bond that protects the public against misconduct of a commissioned notary while performing a notarial act. An errors and omissions insurance notary. Notaries public are required to obtain a $10,000.00 surety bond and file it at the office of the county clerk. The state of michigan requires every notary to purchase a. Surety Bond For Notary Michigan.
From notary.net
Indiana Notary Surety Bond » Surety Bond For Notary Michigan Web a michigan notary bond is a surety bond that protects the public against misconduct of a commissioned notary while performing a notarial act. The bond offers financial protection to a party damaged by a michigan notary public’s Easy application and quick approval for all. Web get your $10,000 michigan notary bond quickly with jw surety bonds. An errors and. Surety Bond For Notary Michigan.
From notary.net
Washington Notary Bond » Surety Bond For Notary Michigan Web a michigan notary bond is a surety bond that protects the public against misconduct of a commissioned notary while performing a notarial act. Notaries public are required to obtain a $10,000.00 surety bond and file it at the office of the county clerk. The state of michigan requires every notary to purchase a $10,000 surety bond in order to. Surety Bond For Notary Michigan.
From www.bondexchange.com
Michigan Notary Public Bond A Comprehensive Guide Surety Bond For Notary Michigan Notaries public are required to obtain a $10,000.00 surety bond and file it at the office of the county clerk. An errors and omissions insurance notary. Web michigan law requires notaries to purchase a michigan notary bond in the amount of $10,000 from a licensed surety company. Web notary public surety bonds are required in michigan to protect the public. Surety Bond For Notary Michigan.
From www.ezsuretybonds.com
Michigan Notary Bonds EZ Surety Bonds Surety Bond For Notary Michigan Web get your $10,000 michigan notary bond quickly with jw surety bonds. Web michigan law requires notaries to purchase a michigan notary bond in the amount of $10,000 from a licensed surety company. The state of michigan requires every notary to purchase a $10,000 surety bond in order to protect the public. Easy application and quick approval for all. Web. Surety Bond For Notary Michigan.
From www.bondrepublic.com
5,000 Arizona Notary Bond Bond Republic Surety Bond For Notary Michigan An errors and omissions insurance notary. Web a michigan notary bond is a surety bond that protects the public against misconduct of a commissioned notary while performing a notarial act. Notaries public are required to obtain a $10,000.00 surety bond and file it at the office of the county clerk. The bond offers financial protection to a party damaged by. Surety Bond For Notary Michigan.
From fasriso329.weebly.com
How To Get A Surety Bond For Notary fasriso Surety Bond For Notary Michigan Web a michigan notary bond is a surety bond that protects the public against misconduct of a commissioned notary while performing a notarial act. Web get your $10,000 michigan notary bond quickly with jw surety bonds. Easy application and quick approval for all. Notaries public are required to obtain a $10,000.00 surety bond and file it at the office of. Surety Bond For Notary Michigan.
From www.bondrepublic.com
500 Wisconsin Notary Bond Bond Republic Surety Bond For Notary Michigan Easy application and quick approval for all. An errors and omissions insurance notary. Notaries public are required to obtain a $10,000.00 surety bond and file it at the office of the county clerk. Web notary public surety bonds are required in michigan to protect the public from any misconduct of the notary. Web get your $10,000 michigan notary bond quickly. Surety Bond For Notary Michigan.
From notary.net
Wisconsin Notary Surety Bond » Surety Bond For Notary Michigan The bond offers financial protection to a party damaged by a michigan notary public’s Easy application and quick approval for all. The state of michigan requires every notary to purchase a $10,000 surety bond in order to protect the public. An errors and omissions insurance notary. Web get your $10,000 michigan notary bond quickly with jw surety bonds. Web notary. Surety Bond For Notary Michigan.
From notary.net
Kentucky Notary Surety Bond Travelers » Surety Bond For Notary Michigan Web a michigan notary bond is a surety bond that protects the public against misconduct of a commissioned notary while performing a notarial act. The bond offers financial protection to a party damaged by a michigan notary public’s The state of michigan requires every notary to purchase a $10,000 surety bond in order to protect the public. Easy application and. Surety Bond For Notary Michigan.
From notary.net
Michigan Notary Bond Travelers Insurance » Surety Bond For Notary Michigan Notaries public are required to obtain a $10,000.00 surety bond and file it at the office of the county clerk. Web michigan law requires notaries to purchase a michigan notary bond in the amount of $10,000 from a licensed surety company. Web notary public surety bonds are required in michigan to protect the public from any misconduct of the notary.. Surety Bond For Notary Michigan.
From notary.net
Resident Illinois Notary Bond » Surety Bond For Notary Michigan Notaries public are required to obtain a $10,000.00 surety bond and file it at the office of the county clerk. Web notary public surety bonds are required in michigan to protect the public from any misconduct of the notary. Web get your $10,000 michigan notary bond quickly with jw surety bonds. The bond offers financial protection to a party damaged. Surety Bond For Notary Michigan.